Original
Scientific Paper

UDC: 338.487:641
005:[628.472:640.4
DOI: 10.5937/menhottur2500004G
Empirical analysis of tourists’ intentions regarding food waste in Serbian hotel industry
Slobodan Glišić1[*], Predrag Stamenković1
1 Academy of Professional Studies South Serbia, Leskovac, Serbia
Abstract
Purpose – Food waste management is becoming an increasingly significant global challenge, especially in the hospitality industry, where large amounts of waste are generated, leading to negative environmental, social and economic consequences. This research explores how tourists perceive food waste in Serbian hotels, aiming to uncover the main psychological drivers that influence their intentions to minimize such waste. Methodology – The study uses an adapted Norm Activation Model (NAM) to analyze the effects of awareness of the consequences of food waste, sense of responsibility and personal norms regarding tourists’ intentions. Results – The results indicate that these factors significantly contribute to shaping sustainable behavior, with awareness of the consequences being the most critical. Implications – Incorporating psychological insights into food waste strategies, as suggested by the findings, could serve as a catalyst for implementing sustainable measures in hospitality services.
Keywords: food waste management, hospitality industry, Norm Activation Model, tourist attitudes, sustainable behavior
JEL classification: L66, L83, Z32
Empirijska analiza namera turista u pogledu otpada od hrane u hotelijerstvu Srbije
Sažetak
Svrha – Upravljanje otpadom od hrane postaje sve značajniji globalni izazov, posebno u ugostiteljskoj industriji, gde se stvaraju velike količine otpada, što dovodi do negativnih ekoloških, društvenih i ekonomskih posledica. Ovo istraživanje ispituje kako turisti doživljavaju otpad od hrane u hotelima u Srbiji, sa ciljem da identifikuje glavne psihološke pokretače koji utiču na njihovu nameru da taj otpad svedu na minimum. Metodologija – Studija koristi prilagođeni model aktivacije normi (NAM) za analizu efekata svesti o posledicama rasipanja hrane, osećaja odgovornosti i ličnih normi na namere turista. Rezultati – Rezultati ukazuju da ovi faktori značajno doprinose oblikovanju održivog ponašanja, pri čemu je svest o posledicama najkritičnija. Implikacije – Uključivanje psiholoških uvida u strategije upravljanja otpadom od hrane, kako to sugerišu rezultati istraživanja, moglo bi poslužiti kao pokretač za sprovođenje održivih mera u sektoru ugostiteljstva.
Klјučne reči: upravljanje otpadom od hrane, ugostiteljstvo, model aktivacije normi, stavovi turista, održivo ponašanje
JEL klasifikacija: L66, L83, Z32
1. Introduction
Global food waste management represents one of the key challenges of sustainable development, as excessive food disposal negatively impacts the environment, economic stability, and social responsibility (Faishal, 2022; Radde et al., 2025). Within the hospitality industry, particularly in hotels and restaurants, the issue of food waste is increasingly evident, driven by the large volumes of food that are prepared but not consumed, which contributes to greater waste and environmental impact (Setiawan & Puspitasari, 2023). A particularly concerning aspect is that a significant portion of discarded food could be redistributed or utilized more efficiently through waste reduction strategies, yet such approaches have not been systematically implemented.
In Serbia, the problem of food waste within the hotel industry has received limited attention and remains insufficiently addressed, even though the tourism sector continues to expand. Hotels face challenges in maintaining service quality, meeting guest expectations, and simultaneously reducing negative environmental impacts (Gajić et al., 2023; Martin-Rios et al., 2020). The quality of hotel services is a key factor in ensuring guest satisfaction; however, it is still unclear to what extent sustainable practices and effective food waste management impact visitor’ perceptions and their loyalty (Awasthi et al., 2020; Gajić et al., 2023; Tavil, 2020). The lack of well-defined guidelines and the insufficient breadth of research in this field reveal notable gaps in the existing literature that warrant further investigation.
This study aims to explore how awareness of the consequences of food waste, a sense of personal responsibility, and individual moral norms contribute to shaping tourists’ intentions to reduce food waste in hotels across Serbia. The application of the Norm Activation Model (NAM) allows for a deeper understanding of the psychological factors that drive sustainable guest behavior, providing a theoretical framework for assessing their intentions. The motivation for conducting this research stems from the need to fill the gap in understanding tourists’ attitudes toward food waste in the hotel industry, as previous studies have not fully incorporated all relevant psychological aspects of decision-making related to waste reduction. Additionally, the findings will offer practical recommendations for hoteliers, enabling them to implement strategies to raise awareness and encourage responsible guest behavior.
The novelty of this study is reflected in its application of a theoretical framework that brings together essential psychological determinants of decision-making related to food waste management in hotels. By applying the NAM model within the Serbian context, the research offers meaningful insights for developing sustainable business strategies and enriches the academic work on sustainable tourism and hospitality.
2. Theoretical background
Food waste management remains a major challenge in the hospitality sector, as the excessive discarding of food results in substantial environmental, economic, and social consequences. Existing research indicates that psychological elements such as awareness of impacts, perceived responsibility, and internalized personal norms are crucial in fostering sustainable consumer behavior (Setiawan & Puspitasari, 2023). Despite an expanding body of work on food waste, studies that specifically examine the psychological drivers behind tourists’ behavior in hotel settings are still limited (Berjan et al., 2022; Huang et al., 2021).
One of the most widely used theoretical frameworks in this field is the Norm Activation Model (NAM), which explains how moral norms shape pro-social behavior (Ebreo et al., 2003). This model suggests that when individuals recognize the severe consequences of food waste, they are more likely to cultivate a sense of personal responsibility and intrinsic motivation to minimize it. Rastegari et al. (2023) combined the Norm Activation Model (NAM) with the Theory of Planned Behavior (TPB) in their study on food waste practices among retailers, demonstrating that a heightened sense of responsibility serves as a crucial determinant of sustainable behavioral outcomes. Similarly, Teng et al. (2022) emphasized that moral norms and awareness of consequences are critical factors in preventing food waste, particularly in the restaurant and hotel sectors. Mahasuweerachai (2024) used the NAM model to analyze food safety behavior among restaurant employees, highlighting that personal responsibility and moral norms are crucial for adopting sustainable practices. These findings suggest that similar mechanisms may play a vital role in encouraging sustainable tourist behavior, particularly in hotels, where responsibility for food waste is often shifted to hotel management.
Beyond studies focused on professional settings, research indicates that consumer intentions regarding food waste are strongly influenced by personal norms and values. Shin et al. (2018) analyzed consumer behavior toward organic food and found that a combination of NAM and TPB effectively explains consumer choices, which is also relevant for understanding decision-making regarding food waste reduction in hotels. Similarly, Panda et al. (2024) applied this theoretical framework to examine household food waste management, confirming that personal norms play a fundamental role in determining whether food leftovers are reused or discarded. Additional research confirms that awareness of food waste consequences, both environmental and economic, promotes sustainable behavior. Rastegari Kopaei et al. (2021) emphasized the importance of combining NAM with knowledge about composting, showing that informed consumers are more likely to engage in responsible behavior. Similarly, Lee et al. (2023) expanded the NAM model by incorporating situational expectancy and value theories, demonstrating that sustainable behavior is more likely to develop when individuals perceive high personal relevance and benefits from reducing food waste.
Within the hotel industry, research shows that tourists frequently do not take personal responsibility for food waste, viewing it instead as a matter that falls under the hotel’s management and operational duties (Okumus et al., 2020; Özekici, 2022; Vukolić et al., 2025). However, when awareness of the negative consequences of food waste increases, motivation to reduce food waste also rises. Based on these findings, we propose the following hypothesis:
H1: Awareness of food waste consequences (AC) positively influences tourists’ intentions to reduce food waste in hotels (BI).
In addition to awareness of consequences, a sense of responsibility is a critical factor in encouraging sustainable behavior. Studies indicate that individuals who feel personally accountable for environmental issues are more inclined to engage in pro-social behaviors (Ebreo et al., 2003; Mak et al., 2020; Rastegari et al., 2023). Within this framework, we propose the following hypothesis:
H2: The sense of personal responsibility for food waste reduction (AR) positively influences tourists’ intentions to reduce food waste in hotels (BI).
Personal norms are recognized as another key psychological factor influencing consumer intentions. In their study, Setiawan and Puspitasari (2023) utilized the Norm Activation Model (NAM) to investigate how personal moral standards affect consumers’ willingness to reduce food waste in all-you-can-eat restaurants, concluding that moral obligations serve as strong predictors of environmentally responsible behavior. This supports the argument that stronger personal norms lead to a higher likelihood of food waste reduction. Similarly, Ananno et al. (2021) emphasized the importance of personal norms in promoting environmentally responsible actions within the hospitality sector. Their study found that tourists with heightened moral standards and a sense of duty toward sustainability were more willing to adopt practices aimed at reducing food waste. These findings are consistent with prior studies, strengthening the view that well-developed personal norms and a heightened sense of responsibility are critical in encouraging tourists to adopt sustainable behaviors related to food consumption. Building upon these findings, we propose the following hypothesis:
H3: Personal norms regarding responsible food waste behavior (PN) positively influence tourists’ intentions to reduce food waste in hotels (BI).
While most of the cited studies confirm the relevance of the NAM model across different contexts, there remains a lack of empirical studies applying this model to the hotel sector. Rastegari et al. (2023) examined food waste management in the retail sector, whereas most research has focused on restaurants and households, overlooking the specific factors that shape tourists’ behavior in hotels. This research seeks to address the identified gap by utilizing the Norm Activation Model (NAM) to examine the influence of consequence awareness, perceived responsibility, and personal norms on tourists’ intentions to minimize food waste in hotels across Serbia.
Figure 1: Proposed theoretical model

Source: Authors’ research
While the Norm Activation Model (NAM) offers a solid theoretical foundation for interpreting sustainable behaviors such as food waste reduction, various scholars have pointed out its conceptual and methodological shortcomings. Talwar et al. (2022) argue that the NAM model does not adequately account for emotional and situational factors, which can significantly influence decision-making. For instance, beyond moral norms and personal responsibility, feelings of pride or shame may further encourage or discourage pro-environmental behavior, yet the model does not recognize these as key mechanisms. Another challenge associated with NAM is the gap between intentions and actual behavior. Fraj-Andrés et al. (2023) examined the food waste reduction intentions of young consumers in Spain and found that, despite expressing high intentions to reduce food waste, their actual behavior did not align with these claims. This suggests a potential overestimation of moral norms in self-reported surveys, which may lead to bias in the results. In other words, NAM assumes that internalized norms will automatically lead to sustainable behavior, which is not always the case in real-world scenarios. Additionally, one of the key criticisms of the NAM model is its weak interaction with external factors, such as economic feasibility, legal regulations, or social norms that are not necessarily moral in nature. For example, consumers may have well-developed moral norms, but if hotel policies and offerings encourage excessive consumption, reducing food waste becomes challenging. Fraj-Andrés et al. (2023) suggest that, NAM should be integrated with other behavioral theories, such as the Theory of Planned Behavior (TPB) or the Value-Belief-Norm (VBN) Theory, to provide a more realistic assessment of environmentally responsible behavior and to better understand the multiple factors influencing consumer behavior.
3. Methodology
3.1. Sample and procedure
The study was conducted between August 2024 and January 2025, targeting tourists staying in four- and five-star hotels in Belgrade (278), Novi Sad (153), Kopaonik (154), and Divčibare (104). The total sample consisted of 689 respondents, representing a response rate of 68.9% from the 1,000 distributed surveys. These locations were selected to capture diverse tourism profiles, including urban, mountain, and leisure-oriented destinations. A structured, self-administered questionnaire was used for data collection. The survey was conducted in person, with printed copies distributed at hotel receptions, dining areas, and designated guest lounges. Trained hotel staff, in coordination with the research team, facilitated survey distribution, ensuring participants understood the purpose of the study. To encourage participation, respondents were informed that the survey was anonymous and designed to explore food waste awareness and behavior in hotels.
Prior to the main study, a pilot test was conducted with 50 hotel guests to evaluate the clarity and reliability of the questionnaire. Based on their feedback, minor adjustments were made to improve readability and ensure the accuracy of responses. The final questionnaire consisted of four sections: sociodemographic characteristics, awareness of food waste consequences, perceived responsibility, and behavioral intentions regarding food waste reduction in hotels. To address potential moral hazard, participants were assured that their responses would not affect their hotel experience. Additionally, social desirability bias was minimized by emphasizing that there were no right or wrong answers. The study was designed to ensure voluntary participation, with no incentives provided to maintain response authenticity.
The sample was evenly distributed by gender, with 50.8% male and 49.2% female respondents. The largest age group was 30–39 years (28.7%), followed by 40–49 years (25.8%), indicating that middle-aged tourists were the most represented. Higher education levels were dominant, with 45.3% holding a bachelor’s degree and 27.4% a master’s degree, suggesting a well-educated sample. The majority of respondents were domestic tourists (70.7%), while 29.3% were international visitors. Regarding travel purposes, 56.3% visited hotels for leisure, whereas 43.7% were business travelers, highlighting a balanced mix of motivations for hotel stays (Table 1).
Table 1: Socio-demographic characteristics of respondents
|
Characteristic |
Category |
Frequency (N) |
Percentage (%) |
|
Gender |
Male |
350 |
50.8 |
|
Female |
339 |
49.2 |
|
|
Age Group |
18–29 |
144 |
20.9 |
|
30–39 |
198 |
28.7 |
|
|
40–49 |
178 |
25.8 |
|
|
50–59 |
102 |
14.8 |
|
|
60 and above |
67 |
9.7 |
|
|
Education |
High school |
110 |
16.0 |
|
Bachelor’s degree |
312 |
45.3 |
|
|
Master’s degree |
189 |
27.4 |
|
|
PhD |
78 |
11.3 |
|
|
Nationality |
Serbian |
487 |
70.7 |
|
Foreign |
202 |
29.3 |
|
|
Type of Stay |
Business |
301 |
43.7 |
|
Leisure |
388 |
56.3 |
Source: Authors’ research
3.2. Measurements
The measurement items used in this study were adapted and modified based on previous research that applied the Norm Activation Model (NAM) to examine food waste reduction behavior (Kim et al., 2022; Nurisusilawati et al., 2024; Wang et al., 2022). Given the specific context of this study tourists’ awareness, responsibility, and behavioral intentions regarding food waste reduction in hotels in Serbia the original items were adjusted to reflect the hospitality industry setting. The measurement scales were constructed following established psychometric principles, ensuring content validity and construct reliability. All statements were evaluated using a seven-point Likert scale, where 1 indicated strong disagreement and 7 represented strong agreement.
Table 2 shows the respondents’ attitudes towards the use of hotel surplus food through donations. There are currently no regulations in place to support the donation of surplus food from restaurants and hotels in Serbia, which significantly limits the implementation of sustainable practices in the hotel sector. This lack of regulation can lead to increased food waste, as hotels often do not have the opportunity to divert surplus food to beneficial purposes such as donations to food centers or other humanitarian organizations.
A solution to this problem could be found through the introduction of legal regulations that would enable and support food donation as part of sustainable practices in the hotel sector. This would involve clear guidelines and procedures that would allow hotels and restaurants to safely and efficiently donate surplus food, while also addressing social and environmental challenges. The introducing of such measures could significantly reduce food waste and improve the reputation of hotels that implement sustainable practices.
Table 2: Factors and statements
|
Factor |
Abbreviation |
Statement |
|
Awareness of Consequences (AC) |
AC1 |
Food waste in hotels is a serious environmental problem. |
|
AC2 |
Food waste contributes to increased carbon dioxide emissions and climate change. |
|
|
AC3 |
Excess food from hotels could be better utilized through donations instead of being discarded. |
|
|
AC4 |
Minimizing food waste in hotels can play a significant role in promoting sustainable tourism. |
|
|
Ascription of Responsibility (AR) |
AR1 |
I feel responsible for reducing the amount of food I waste in a hotel. |
|
AR2 |
Tourists should take greater responsibility for reducing food waste in hotels. |
|
|
AR3 |
Hotel management holds the primary responsibility for preventing food waste. |
|
|
AR4 |
I experience a sense of guilt when I leave food uneaten on my plate in a hotel restaurant. |
|
|
Personal Norms (PN) – |
PN1 |
I try not to order more food than I can eat when staying in a hotel. |
|
PN2 |
When staying in hotels, I choose smaller portions to reduce food waste. |
|
|
PN3 |
I support hotel initiatives to reduce food waste, even if it means a less diverse menu. |
|
|
Behavioral Intentions (BI) |
BI1 |
I would support a hotel that implements food waste reduction policies. |
|
BI2 |
I am prepared to spend a bit more on meals if the hotel adopts environmentally sustainable practices to reduce food waste. |
|
|
BI3 |
If a hotel offers portion size options, I would always choose a smaller portion to reduce food waste. |
|
|
BI4 |
I believe that hotels should actively promote food waste reduction and involve guests in this process. |
Source: Authors’ research
3.3. Data analysis
The dataset was examined using SPSS 26 to perform initial descriptive analyses and exploratory factor analysis (EFA), while SmartPLS 4 was employed for confirmatory factor analysis (CFA) and structural equation modeling (SEM). This multi-step analytical approach ensured the validity, reliability, and strength of the proposed conceptual model. The descriptive analysis confirmed that all variables adhered to normal distribution assumptions, with skewness and kurtosis values falling within the acceptable ±1.5 range (Beauducel & Wittmann, 2005). EFA was carried out using principal component analysis (PCA) with varimax rotation. The Kaiser-Meyer-Olkin (KMO) statistic yielded a value of 0.906, surpassing the 0.80 threshold and indicating sampling adequacy. Additionally, Bartlett’s test of sphericity was highly significant (χ² = 4,152.74, df = 231, p < 0.001), confirming the dataset’s suitability for factor extraction. Items with loadings below 0.50 were excluded, and the final EFA model accounted for 74.3% of the total variance, meeting the recommended criteria for construct validity (Beauducel & Wittmann, 2005). CFA further supported the measurement model’s validity, with all constructs achieving average variance extracted (AVE) values above 0.50, indicating strong convergent validity. Composite reliability (CR) values ranged from 0.836 to 0.921, confirming high internal consistency across all constructs. Discriminant validity was tested using the Fornell-Larcker criterion, ensuring that each construct’s AVE square root was greater than its correlations with other constructs (Marsh et al., 2019). Additionally, the Heterotrait-Monotrait (HTMT) ratio remained below the 0.85 threshold, supporting discriminant validity. Correlation analysis indicated moderate to strong relationships among the constructs, with all correlation coefficients significant at p < 0.01 (Marsh et al., 2019). The absence of multicollinearity was confirmed, as variance inflation factors (VIF) remained below 5, ensuring that collinearity did not affect the results. Structural equation modeling (SEM) was used to test the proposed hypotheses. Model fit indices confirmed a good fit, with RMSEA (0.047) below the recommended 0.08 threshold and SRMR (0.038) within the acceptable range of 0.05 (Ximénez et al., 2022). The Tucker-Lewis Index (TLI = 0.934) and the Normed Fit Index (NFI = 0.921) both exceeded the 0.90 benchmark, indicating strong model fit. Path coefficients in the SEM model were all significant at p < 0.01, confirming the hypothesized relationships (Ximénez et al., 2022). The model’s explanatory power was supported by R² values, with R² = 0.643 for behavioral intentions, meaning that 64.3% of the variance in behavioral intentions was explained by the model. Predictive relevance (Q²) was assessed using PLS blindfolding, with values ranging from 0.297 to 0.461, confirming strong predictive power (Marsh et al., 2019).
4. Results
Table 3 provides an overview of the descriptive statistics and factor loadings for all measured items, offering valuable information regarding the reliability and validity of the constructs applied in this study. The mean scores (M) span from 4.812 (AR1) to 6.401 (AC2), indicating that participants generally showed moderate to strong agreement with the statements. Standard deviations (SD) range from 0.928 (AC1) to 1.189 (AR2), reflecting a reasonable degree of response variation, which falls within acceptable limits for social science research.
Table 3: Descriptive statistics and factor loadings of measurement items
|
Abbreviation |
m |
sd |
α |
λ |
|
AC1 |
5.249 |
0.928 |
0.891 |
0.829 |
|
AC2 |
6.401 |
1.013 |
0.826 |
0.734 |
|
AC3 |
5.964 |
1.167 |
0.810 |
0.790 |
|
AC4 |
5.697 |
1.102 |
0.942 |
0.798 |
|
AR1 |
4.812 |
1.004 |
0.945 |
0.700 |
|
AR2 |
5.382 |
1.189 |
0.910 |
0.768 |
|
AR3 |
5.917 |
1.037 |
0.841 |
0.872 |
|
AR4 |
6.218 |
0.987 |
0.895 |
0.810 |
|
PN1 |
5.682 |
1.122 |
0.932 |
0.715 |
|
PN2 |
5.934 |
1.097 |
0.913 |
0.821 |
|
PN3 |
6.103 |
0.954 |
0.887 |
0.738 |
|
BI1 |
6.022 |
1.071 |
0.907 |
0.877 |
|
BI2 |
5.476 |
1.143 |
0.925 |
0.719 |
|
BI3 |
5.814 |
1.038 |
0.890 |
0.795 |
|
BI4 |
6.257 |
0.969 |
0.936 |
0.823 |
* Note: m – arithmetic mean, sd – standard deviation, α - Cronbach alpha, λ – factor loading
Source: Authors’ research
Cronbach’s alpha (α), used to assess internal consistency, ranges from 0.810 (AC3) to 0.945 (AR1), with all values surpassing the recommended minimum of 0.70, thereby confirming the high reliability of each construct. Notably, the alpha of 0.945 for AR1 demonstrates particularly high consistency in responses concerning personal responsibility for minimizing food waste. Factor loadings (λ) range from 0.700 (AR1) to 0.877 (BI1), all exceeding the minimum recommended 0.65, indicating that all items strongly contribute to their respective latent constructs. The lowest loading (0.700 for AR1) still meets acceptability criteria, while the highest (0.877 for BI1) suggests a particularly strong relationship between the item and its underlying construct.
Table 4 summarizes construct validity and reliability indicators based on exploratory and confirmatory factor analyses (EFA and CFA). Eigenvalues range from 4.682 (highest) to 2.317 (lowest), demonstrating that all constructs explain a substantial portion of variance. Variance explained per factor decreases logically, from 29.754% to 17.432%, with a cumulative variance of 94.372%, confirming that the model retains meaningful dimensions without excessive redundancy. All composite reliability (CR) values exceed 0.875, with the highest recorded at 0.941, indicating excellent internal consistency across the constructs. Additionally, the average variance extracted (AVE) values fall within the range of 0.564 to 0.655, surpassing the recommended minimum threshold of 0.50 and thereby confirming that the constructs demonstrate satisfactory convergent validity.
Table 4: Construct validity and reliability indicators
|
Factor |
M |
SD |
α |
Eigen Value |
% Variance |
Cumulative % |
CR |
AVE |
|
AC |
6.399 |
1.342 |
0.936 |
4.682 |
29.754 |
29.754 |
0.890 |
0.564 |
|
AR |
6.244 |
0.966 |
0.943 |
3.894 |
25.647 |
55.401 |
0.904 |
0.655 |
|
PN |
6.021 |
1.396 |
0.897 |
3.105 |
21.539 |
76.940 |
0.930 |
0.638 |
|
BI |
6.325 |
1.181 |
0.881 |
2.317 |
17.432 |
94.372 |
0.933 |
0.603 |
*Note: m – arithmetic mean, sd – standard deviation, α – cronbach alpha, CR – composite reliability, AVE – average variance extracted
Source: Authors’ research
Table 5 displays the correlation matrix for the main constructs included in the study. All correlation coefficients are positive and statistically significant, indicating the presence of meaningful associations among the variables. The strongest correlation is identified between Personal Norms (PN) and Behavioral Intentions (BI) (r = 0.841), implying that individuals who hold stronger moral beliefs regarding food waste reduction are more inclined to adopt behaviors aimed at minimizing waste. Moderate correlations are found between Ascription of Responsibility (AR) and PN (r = 0.793), as well as between Awareness of Consequences (AC) and PN (r = 0.591), suggesting that a greater awareness of the negative impacts of food waste and a stronger sense of personal responsibility are linked to more pronounced personal norms. The weakest correlation is observed between AC and BI (r = 0.463), indicating that while awareness is relevant, it may not sufficiently influence behavioral intentions without the reinforcing roles of personal responsibility and internalized moral standards.
Table 5: Correlations among variables
|
Factor |
AC |
AR |
PN |
BI |
|
AC |
1.000 |
0.531 |
0.591 |
0.463 |
|
AR |
0.480 |
1.000 |
0.793 |
0.624 |
|
PN |
0.584 |
0.680 |
1.000 |
0.675 |
|
BI |
0.636 |
0.676 |
0.841 |
1.000 |
* Note: the diagonal is the AVE square root of each construct
Source: Authors’ research
Figure 2 visualizes the relationship between HTMT values (red X markers) and Fornell-Larcker values (blue star markers), providing a validity check for the constructs. The majority of HTMT values remain below the 0.85 threshold (red dashed line), confirming that constructs meet the discriminant validity criterion. Additionally, Fornell-Larcker values mostly exceed the 0.50 threshold (green dashed line), further supporting the distinctiveness of constructs. The clear separation between the two validity measures reinforces the robustness of the measurement model.
Figure 2: Fornell-Larcker and HTMT discriminant validity check

Source: Authors’ research
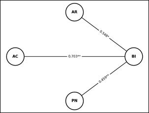
The path analysis results validate the proposed hypotheses, confirming significant relationships among awareness of consequences (AC), the ascription of responsibility (AR), personal norms (PN), and behavioral intentions (BI) related to food waste reduction. All three hypothesized paths are statistically significant, underscoring the strength and reliability of the conceptual model. Specifically, awareness of consequences (H1) exerts a strong and significant impact on behavioral intentions, with a standardized path coefficient of β = 0.703 and a moderate effect size (f² = 0.072). This indicates that individuals with greater awareness of the environmental and social consequences of food waste are more inclined to form strong intentions to adopt waste-reducing behaviors. Similarly, the ascription of responsibility (H2) positively affects behavioral intentions (β = 0.548, f² = 0.082), indicating that when individuals feel a sense of personal responsibility, their motivation to act sustainably increases significantly. Among the predictors, personal norms (H3) exhibit both a significant path coefficient (β = 0.459) and the largest effect size (f² = 0.134), underscoring the critical role of internalized moral obligations in driving behavioral intentions. This result highlights the centrality of deeply held personal values in influencing pro-environmental behavior, particularly in the context of food waste reduction. The t-values across all paths are substantial (t = 2.154 to 5.349) and p-values confirm high levels of significance (p < 0.01 to p < 0.001), further reinforcing the reliability of the results (Table 6).
Table 6: Path analysis and hypothesis testing
|
Hypotheses |
Path |
β |
m |
sd |
t |
p |
f² |
Confirmation |
|
H1 |
AC → BI |
0.703 |
6.004 |
1.422 |
2.154 |
<0.001 |
0.072 |
Supported |
|
H2 |
AR → BI |
0.548 |
5.348 |
1.399 |
5.349 |
<0.01 |
0.082 |
Supported |
|
H3 |
PN → BI |
0.459 |
6.417 |
1.072 |
3.599 |
<0.001 |
0.134 |
Supported |
*Note: *** p < 0.001, ** p < 0.01*, *p < 0.05 (marginally significant)
Source: Authors’ research
Figure 3 illustrates the relationships between the constructs Awareness of Consequences (AC), Ascription of Responsibility (AR), Personal Norms (PN), and their impact on Behavioral Intentions (BI). The strongest path (β = 0.703, p < 0.01) indicates that AC has a substantial direct effect on BI, highlighting the importance of awareness in shaping behavioral intentions. Both AR (β = 0.548, p < 0.05) and PN (β = 0.459, p < 0.01) also significantly contribute to BI, emphasizing the roles of responsibility and personal moral norms in influencing pro-environmental behaviors.
Figure 3: Final model

Source: Authors’ research
5. Discussion
The results of this study confirm that psychological factors, including awareness of food waste consequences, a sense of responsibility, and personal norms, significantly influence tourists’ intentions to reduce food waste in the hotel sector. These findings align with previous research applying the Norm Activation Model (NAM) in various contexts while also extending the understanding of this model within the hospitality industry. Awareness of food waste consequences emerged as the strongest predictor of tourists’ intentions to reduce food waste, which is consistent with the study by Rasool et al. (2021), highlighting that awareness and perceptions of environmental consequences are key drivers of sustainable behavior. Similar results were reported by Visschers et al. (2016), where respondents with higher awareness of food waste’s impact on the environment exhibited stronger intentions to reduce it. However, while awareness is a significant factor, some authors suggest that awareness alone is not sufficient to drive behavioral change. Mallinson et al. (2016) emphasize that food waste awareness often does not lead to waste reduction unless accompanied by regulatory or social incentives, suggesting avenues for further research within the hotel context. The sense of responsibility for reducing food waste also proved to be a significant factor in shaping behavioral intentions, aligning with findings by Aguilar-Luzon et al. (2012), who confirmed that consumers who feel moral and social responsibility are more likely to adopt sustainable habits. Our findings further support those of Papaoikonomou et al. (2011), who highlight that a sense of responsibility can reduce the “intention-behavior gap” often present in environmental initiatives. However, it is important to note that in the hotel context, the sense of responsibility is often diminished due to the delegation of responsibility to hotel management (Özekici, 2022). For this reason, hotel managers play a crucial role in increasing tourists’ sense of responsibility through education, promotional campaigns, and customized waste reduction strategies. Personal norms demonstrated a significant but weaker influence compared to awareness of consequences and responsibility, which aligns with the study by Teng et al. (2022), arguing that moral norms often depend on external incentives and cultural context. This finding can be further explained by Wang et al. (2021), who suggest that economic incentives and social expectations often have a stronger influence on sustainable behavior than moral norms alone. Despite this, the research by Russell et al. (2017) suggests that personal norms play a crucial role in the long-term development of sustainable habits, indicating the need for additional studies on how hotels can encourage the internalization of ecological norms among tourists.
6. Conclusion
This study offers both theoretical and empirical advancements in understanding the psychological determinants that shape tourists’ intentions to reduce food waste within the hotel industry. By applying the Norm Activation Model (NAM) in this specific setting, the research confirms that awareness of consequences, perceived responsibility, and personal norms are critical predictors of sustainable behavior among tourists. The findings are consistent with existing literature on sustainability but expand the theoretical scope by contextualizing the model within the hotel sector. In doing so, the study contributes to the global discourse on food waste management by shedding light on the active role tourists can play in mitigating this issue. Unlike earlier research that primarily centered on household and restaurant contexts, this work addresses a significant gap by emphasizing the importance of the tourism industry in confronting environmental challenges related to food waste.
6.1. Theoretical and practical implications
The findings of this study have significant theoretical and practical implications. Theoretically, this research contributes to the sustainability tourism literature by confirming that the NAM model is a relevant framework for analyzing tourist behavior. However, it also highlights the need for expanding its application to the hotel sector, where responsibility and economic factors play a more prominent role than in other settings. These results suggest that the NAM model could be more effective when combined with regulatory and economic incentives, opening the possibility for its revision and adaptation to the specificities of the tourism industry. Furthermore, the study enriches the existing theoretical discourse by demonstrating how psychological factors, such as personal norms and perceived responsibility, interact with external factors like regulations and economic incentives to influence behavior. This suggests that future theoretical models could benefit from a more integrative approach that incorporates a wider range of determinants relevant to the hospitality sector.
From a practical standpoint, the findings are valuable for hoteliers, hospitality managers, and policymakers in tourism. The results emphasize the need to develop strategies that enhance food waste awareness among tourists, strengthen their sense of responsibility, and encourage moral norms through hotel practices. Effective implementation of these strategies could involve creating educational and promotional materials that raise awareness about food waste issues and their broader environmental and economic implications. Additionally, hoteliers could improve their environmental responsibility by implementing policies that encourage tourists to minimize food waste, such as offering incentives for reduced waste or providing information about sustainable practices.
Furthermore, innovative approaches such as portion size adjustments, digital solutions to monitor and reduce waste, and guest engagement in food redistribution programs can be particularly impactful. Hotels could establish collaborations with local charities and food banks to ensure that excess food is donated rather than discarded. Digital platforms and mobile applications that track food consumption and provide feedback to guests could also serve as useful tools for promoting sustainable behaviors.
Implementing environmentally sustainable policies in the hotel sector not only contributes to food waste reduction but can also enhance the hotel reputation and attract environmentally conscious tourists. Given the growing consumer demand for sustainability, hotels that actively promote and implement food waste reduction measures may gain a competitive advantage in the market. Such initiatives can improve brand image, foster customer loyalty, and appeal to ethically-minded tourists who prioritize environmental responsibility in their travel choices.
As for researchers, this study is particularly relevant to those involved in sustainable tourism, environmental psychology, and hospitality management, who can use the findings as a foundation for further investigations. Besides this, the results offer practical value for hotel managers seeking to implement innovative food waste reduction strategies and improve the environmental responsibility of their establishments. Future research could explore the integration of psychological, economic, and regulatory factors in a comprehensive framework that provides a more holistic understanding of food waste management in the hospitality industry. Additionally, cross-cultural comparisons and longitudinal studies could offer deeper insights into how these factors influence tourist behavior across different contexts and over time.
6.2. Limitations and future research directions
While the results clearly indicate a significant impact of psychological factors on tourists’ intentions, some limitations must be considered. One key limitation is the study’s focus on a specific geographical context, which may restrict the generalizability of the findings to other regions or different types of hospitality establishments. Additionally, the study relies on self-reported data, which may lead to social desirability bias, meaning that respondents may overstate their commitment to sustainable behavior.
The seasonal aspect of tourist visits represents a significant limitation of this research. Namely, tourist visits to hotels in Serbia are often dependent on specific periods such as the summer season, holidays or festivals, which significantly affects the amount of food produced and consumed. During periods of high traffic, hotels often increase food production to meet demand, potentially leading to higher wastage. On the other hand, in quieter periods, the lower volume of visits may influence different food management approaches. This limitation indicates the need for a more detailed study of seasonal variations to determine whether there are significant differences in food wastage during different periods of the year. Future research could include an analysis of the impact of seasonality over a longer period of time in order to more precisely identify patterns of food wastage and develop more effective measures to reduce it.
Future research should expand these findings by incorporating longitudinal studies and observational methods to examine the relationship between intentions and actual tourist behavior. Moreover, further studies should explore how economic incentives, regulatory measures, and hotel policies can shape sustainable guest behavior, given that previous research suggests psychological factors alone are often insufficient to drive long-term change. Integrating the NAM model with the Theory of Planned Behavior (TPB) or the Value-Belief-Norm (VBN) Theory could provide a more precise understanding of the interplay between internal motivations and external factors.
Despite these limitations, the study provides clear and practical guidance for hoteliers and sustainability researchers, who can use these findings to improve sustainable practices and develop more effective food waste reduction strategies in the hotel sector.
Conflict of interest
The authors declare no conflict of interest.
References
1. Aguilar-Luzon, M. C., García-Martínez, J. M. A., Calvo-Salguero, A., & Salinas, J. M. (2012). Comparative study between the theory of planned behaviour and the value–belief–norm model regarding the environment, on Spanish housewives’ recycling behaviour. Journal of Applied Social Psychology, 42(11), 2797–2833. https://doi.org/10.1111/j.1559-1816.2012.00962.x
2. Ananno, A. A., Masud, M. H., Chowdhury, S. A., Dabnichki, P., Ahmed, N., & Arefin, A. M. E. (2021). Sustainable food waste management model for Bangladesh. Sustainable Production and Consumption, 27, 35–51. https://doi.org/10.1016/j.spc.2020.10.022
3. Awasthi, S. K., Sarsaiya, S., Awasthi, M. K., Liu, T., Zhao, J., Kumar, S., & Zhang, Z. (2020). RETRACTED: Changes in global trends in food waste composting: Research challenges and opportunities. Bioresource technology, 299, 122555. https://doi.org/10.1016/j.biortech.2019.122555.
4. Beauducel, A., & Wittmann, W. W. (2005). Simulation study on fit indexes in CFA based on data with slightly distorted simple structure. Structural Equation Modeling: A Multidisciplinary Journal, 12(1), 41–75. https://doi.org/10.1207/s15328007sem1201_3
5. Berjan, S., Vaško, Ž., Ben Hassen, T., El Bilali, H., Allahyari, M. S., Tomić, V., & Radosavac, A. (2022). Assessment of household food waste management during the COVID-19 pandemic in Serbia: A cross-sectional online survey. Environmental Science and Pollution Research, 1–12. https://doi.org/10.1007/s11356-021-16485-8
6. Canivez, G. L., McGill, R. J., Dombrowski, S. C., Watkins, M. W., Pritchard, A. E., & Jacobson, L. A. (2020). Construct validity of the WISC-V in clinical cases: Exploratory and confirmatory factor analyses of the 10 primary subtests. Assessment, 27(2), 274–296. https://doi.org/10.1177/1073191118811609
7. Ebreo, A., Vining, J., & Cristancho, S. (2003). Responsibility for environmental problems and the consequences of waste reduction: A test of the norm-activation model. Journal of Environmental Systems, 29(3), 219–244. http://dx.doi.org/10.2190/EQGD-2DAA-KAAJ-W1DC
8. Faishal, A. (2022). Laws and regulations regarding food waste management as a function of environmental protection in a developing nation. International Journal of Criminal Justice Sciences, 17(2), 223–237. http://dx.doi.org/10.5281/zenodo.4756121
9. Fraj-Andrés, E., Herrando, C., Lucia-Palacios, L., & Pérez-López, R. (2023). Intention versus behaviour: Integration of theories to help curb food waste among young Spanish consumers. British Food Journal, 125(2), 570–586. https://doi.org/10.1108/BFJ-09-2021-1042
10. Gajić, T., Vukolić, D., Zrnić, M., & Dávid Lóránt, D. (2023). The quality of hotel service as a factor of achieving loyalty among visitors. Hotel and Tourism Management, 11(1), 67–77. https://doi.org/10.5937/menhottur2301067G
11. Huang, I. Y., Manning, L., James, K. L., Grigoriadis, V., Millington, A., Wood, V., & Ward, S. (2021). Food waste management: A review of retailers’ business practices and their implications for sustainable value. Journal of Cleaner Production, 285, 125484. https://doi.org/10.1016/j.jclepro.2020.125484
12. Kim, W., Che, C., & Jeong, C. (2022). Food waste reduction from customers’ plates: Applying the norm activation model in the South Korean context. Land, 11(1), 109. https://doi.org/10.3390/land11010109
13. Lee, S. H., Chang, H. J. J., & Zhao, L. (2023). The importance of personal norms and situational expectancies to sustainable behaviors: The norm activation and situational expectancy-value theories. Journal of Retailing and Consumer Services, 73, 103371. https://doi.org/10.1016/j.jretconser.2023.103371
14. Mahasuweerachai, P. (2024). How to influence restaurant employees’ food safety behaviour: An application of the theory of planned behavior and norm activation model. Journal of Foodservice Business Research, 27(2), 173–195. https://doi.org/10.1080/15378020.2022.2083437
15. Mak, T. M., Xiong, X., Tsang, D. C., Yu, I. K., & Poon, C. S. (2020). Sustainable food waste management towards circular bioeconomy: Policy review, limitations and opportunities. Bioresource Technology, 297, 122497. https://doi.org/10.1016/j.biortech.2019.122497.
16. Mallinson, L. J., Russell, J. M., & Barker, M. E. (2016). Attitudes and behaviour towards convenience food and food waste in the United Kingdom. Appetite, 103, 17–28. https://doi.org/10.1016/j.appet.2016.03.017
17. Marsh, H. W., Guo, J., Dicke, T., Parker, P. D., & Craven, R. G. (2019). Confirmatory factor analysis (CFA), exploratory structural equation modeling (ESEM), and set-ESEM: Optimal balance between goodness of fit and parsimony. Multivariate Behavioral Research, 55(1), 102–119. https://doi.org/10.1080/00273171.2019.1602503
18. Martin-Rios, C., Hofmann, A., & Mackenzie, N. (2020). Sustainability-oriented innovations in food waste management technology. Sustainability, 13(1), 210. https://doi.org/10.3390/su13010210
19. Nurisusilawati, I., Qornaeni, L., & Jannah, A. N. (2024). Modified norm activation model (NAM) to see the effect of technology on food waste management behaviour. IOP Conference Series: Earth and Environmental Science, 1388, 012004. https://doi.org/10.1088/1755-1315/1388/1/012004
20. Okumus, B., Taheri, B., Giritlioglu, I., & Gannon, M. J. (2020). Tackling food waste in all-inclusive resort hotels. International Journal of Hospitality Management, 88, 102543. http://dx.doi.org/10.1016/j.ijhm.2020.102543
21. Özekici, Y. K. (2022). Extending value-belief and norm theory with social identity for preventing food waste at restaurants. Turizm Akademik Dergisi, 9(1), 273–291.
22. Panda, D., Raut, S. K., Rana, S., & Shamsudin, M. N. (2024). Household food waste reduction and leftover reuse intention: Interplay of personal norms and mediating variables. Journal of Foodservice Business Research, 1–30. https://doi.org/10.1080/15378020.2024.2430063
23. Papaoikonomou, E., Ryan, G., & Ginieis, M. (2011). Towards a holistic approach of the attitude behavior gap in ethical consumer behaviors: Empirical. International Advances in Economic Research, 17, 77–88. https://doi.org/10.1007/s11294-010-9288-6
24. Radde, H. A., Rachman, I., & Matsumoto, T. (2025). Trying to decrease food-wasting behavior with combined theory plan behavior, value belief norm, and norm activation model: A behavioral approach for sustainable development. Multidisciplinary Science Journal, 7(4), 2025149. https://doi.org/10.31893/multiscience.2025149
25. Rasool, S., Cerchione, R., Salo, J., Ferraris, A., & Abbate, S. (2021). Measurement of consumer awareness of food waste: Construct development with a confirmatory factor analysis. British Food Journal, 123(13), 337–361. https://doi.org/10.1108/BFJ-02-2021-0160
26. Rastegari Kopaei, H., Nooripoor, M., Karami, A., Petrescu-Mag, R. M., & Petrescu, D. C. (2021). Drivers of residents’ home composting intention: Integrating the theory of planned behavior, the norm activation model, and the moderating role of composting knowledge. Sustainability, 13(12), 6826. https://doi.org/10.3390/su13126826
27. Rastegari, H., Petrescu, D. C., & Petrescu-Mag, R. M. (2023). Factors affecting retailers’ fruit waste management: Behavior analysis using the theory of planned behavior and norm activation model. Environmental Development, 47, 100913. https://doi.org/10.1016/j.envdev.2023.100913
28. Russell, S. V., Young, C. W., Unsworth, K. L., & Robinson, C. (2017). Bringing habits and emotions into food waste behavior. Resources, Conservation & Recycling, 125, 107–114. https://doi.org/10.1016/j.resconrec.2017.06.007
29. Setiawan, B., & Puspitasari, R. (2023). Consumer intentions to reduce food waste in all-you-can-eat restaurants based on personal norm activation. Heliyon, 9(2). https://doi.org/10.1016/j.heliyon.2023.e13399
30. Shin, Y. H., Im, J., Jung, S. E., & Severt, K. (2018). The theory of planned behavior and the norm activation model approach to consumer behavior regarding organic menus. International Journal of Hospitality Management, 69, 21–29. https://doi.org/10.1016/j.ijhm.2017.10.011
31. Talwar, S., Kaur, P., Kumar, S., Salo, J., & Dhir, A. (2022). The balancing act: How do moral norms and anticipated pride drive food waste/reduction behavior? Journal of Retailing and Consumer Services, 66, 102901. https://doi.org/10.1016/j.jretconser.2021.102901
32. Tavill, G. (2020). Industry challenges and approaches to food waste. Physiology & Behavior, 223, 112993. https://doi.org/10.1016/j.physbeh.2020.112993
33. Teng, C. C., Wang, Y. C., & Chuang, C. J. (2022). Food choice motives and dining-out leftover prevention behavior: Integrated perspectives of planned behavior and norm activation. International Journal of Hospitality Management, 107, 103309. https://doi.org/10.1016/j.ijhm.2022.103309
34. Visschers, V. H. M., Wickli, N., & Siegrist, M. (2016). Sorting out food waste behavior: A survey on the motivators and barriers of self-reported amounts of food waste in households. Journal of Environmental Psychology, 45, 66–78. https://doi.org/10.1016/j.jenvp.2015.11.007
35. Vukolić, D., Gajić, T., & Popović, A. (2025). Digital transformation in hospitality: The role of AI in enhancing business through gastronomic offerings. BizInfo Blace. https://doi.org/10.71159/bizinfo250004V
36. Wang, C., Zhang, X., & Sun, Q. (2021). The influence of economic incentives on residents’ intention to participate in online recycling: An experimental study from China. Resources, Conservation and Recycling, 169, 105497. https://doi.org/10.1016/j.resconrec.2021.105497
37. Wang, J., Li, M., Li, S., & Chen, K. (2022). Understanding consumers’ food waste reduction behavior – A study based on extended norm activation theory. International Journal of Environmental Research and Public Health, 19(7), 4187. https://doi.org/10.3390/ijerph19074187
38. Ximénez, C., Maydeu-Olivares, A., Shi, D., & Revuelta, J. (2022). Assessing cutoff values of SEM fit indices: Advantages of the unbiased SRMR index and its cutoff criterion based on communality. Structural Equation Modeling: A Multidisciplinary Journal, 29(3), 368–380. https://doi.org/10.1080/10705511.2021.1992596
[*] Corresponding author: glisic.slobodan@vpsle.edu.rs
This article is an open access article distributed
under the terms and conditions of the Creative Commons Attribution (CC BY)
license (http://creativecommons.org/licenses/by/4.0/).