Original Scientific Paper

UDC: 316.722:338.46
005.6:640.432
DOI: 10.5937/menhottur2400009R
How culture shapes the restaurant experience: A study of Hofstede’s dimensions and service quality
Tijana Radojević1[*], Nemanja Stanišić2, Nenad Stanić3
1 Singidunum University, Faculty of Tourism and Hospitality Management, Belgrade, Serbia
2 Singidunum University, Faculty of Business Economics, Belgrade, Serbia
3 Singidunum University, Faculty of Computer Science, Belgrade, Serbia
Abstract
Purpose – This study aims to determine the impact of cultural traits on restaurant service quality and infer implications for the hospitality sector. Specifically, it investigates which of Hofstede’s cultural dimensions correlate with superior service. Methodology – The research analyzes 35,000 customer reviews from restaurants in 80 capitals worldwide. It employs a multivariate multilevel model to explore the effects of cultural dimensions on service ratings, complemented by qualitative evidence. Findings – The results reveal that positive customer service evaluations are significantly linked to low power distance, high uncertainty avoidance, and low indulgence (restraint). Additionally, sector-specific cultural traits such as collectivism for hotels and uncertainty avoidance for restaurants are found to be crucial. Implications – This study provides both theoretical and practical insights into the cultural influences on hospitality service quality. It offers valuable guidance for leveraging these insights in staff recruitment and training, ultimately enhancing service delivery and business performance in the hospitality industry. By understanding and integrating cultural dimensions, hospitality businesses can improve their service quality and customer satisfaction.
Keywords: restaurant services, hotel services, hospitality, culture, Hofstede, indulgence-restraint
JEL classification: L83, M12, Z1, Z13
Kako kultura oblikuje iskustvo gostiju u restoranu: Analiza Hofštedeovih dimenzija i kvaliteta usluge
Sažetak
Svrha – Ova studija ima za cilj da utvrdi uticaj kulturnih karakteristika na kvalitet usluge u restoranima i da izvuče zaključke za sektor ugostiteljstva. Konkretno, istražuje koje Hofštedeove kulturne dimenzije koreliraju sa vrhunskom uslugom. Metodologija – Istraživanje analizira 35.000 recenzija kupaca iz restorana u 80 glavnih gradova širom sveta. Koristi se multivarijantni multilevel model za istraživanje efekata dimenzija kulture na ocene usluge, dopunjeno kvalitativnim dokazima. Rezultati – Rezultati pokazuju da su pozitivne ocene usluga kupaca značajno povezane sa niskom distancom moći, visokim izbegavanjem neizvesnosti i niskom sklonosti ka uživanju (suzdržanost). Pored toga, specifične kulturne karakteristike sektora, kao što su kolektivizam za hotele i izbegavanje neizvesnosti za restorane, pokazale su se kao ključne. Implikacije – Ova studija pruža teorijske i praktične uvide u kulturne uticaje na kvalitet usluge u ugostiteljstvu. Nudi dragocene smernice za korišćenje ovih uvida u regrutaciji i obuci osoblja, što na kraju poboljšava pružanje usluge i poslovni učinak u industriji ugostiteljstva. Razumevanjem i integracijom kulturnih dimenzija, ugostiteljski objekti mogu unaprediti kvalitet svojih usluga i zadovoljstvo kupaca.
Klјučne reči: restoraterske usluge, hotelske usluge, ugostiteljstvo, kultura, Hofstede, uživanje-suzdržanost
JEL klasifikacija: L83, M12, Z1, Z13
1. Introduction
In the hospitality industry, particularly in the food and beverage sector, it is of uttermost importance to understand the influence of culture and its diverse layers on service quality. The research conducted by Radojevic et al. (2019) showed a positive correlation between high-quality hotel services and some cultural dimensions such as collectivism, restraint, and low power distance. Based on the results obtained from the research, Figure 1 emphasizes the relevance of these dimensions through a visual representation of the culturally imbued capacity for providing high-quality hotel services.
Figure 1: Visual summary of the culturally imbued capacity for providing high-quality hotel services, as implied by the results of the model presented by Radojevic et al. (2019).

Source: Authors’ research
Regarding hospitality services, Scandinavian and Anglo-Saxon nations tend to rank lower compared to other fields, such as education and innovation, where they excel, which indicates that cultural dimensions affecting service quality may be specific to the hospitality sector. Furthermore, given the similarities between the hotel and restaurant industries, there is a reasonable assumption that it is worth examining the impact of the aforementioned cultural dimensions on the restaurant industry.
In this study, we will focus on the restaurant sector and extend the previous findings by investigating the impact of these cultural dimensions on customer service quality. The research aims to explore the effects of Hofstede’s cultural dimensions on restaurant service quality by analyzing a corpus of 35,000 customer reviews assessing 33,351 restaurants in 80 capitals. The methodology used in the research is similar to the one conducted by Radojevic et al., thus providing result comparability and addressing a gap in the literature that contains studies predominantly investigating hotel services. Namely, no study has been conducted on the effects of restaurant workers’ cultural backgrounds on perceived service quality while controlling for guests’ cultural characteristics and their interactions. Furthermore, no research has used an extensive dataset and a sophisticated model validated in earlier studies. Hence, due to the lack of research findings, there are limitations to our understanding of how workers’ cultural backgrounds affect the perceived quality of restaurant services.
The study hypothesizes that cultural dimensions such as low power distance, high uncertainty avoidance, and low indulgence significantly improve customers’ evaluations of services in restaurants. We posit this hypothesis based on the parallels between hotel and restaurant services. This study provides restaurant managers with insightful and actionable information on how to improve service quality by incorporating culturally informed practices, thus offering a foundation for practical applications in recruitment and training strategies in the hospitality sector.
2. Literature review
The main concepts structuring the theoretical framework of this study include customer satisfaction and service quality. Firstly, the construct “customer satisfaction” can be defined as “a customer’s subjective reported evaluation of the extent to which products or services purchased help them satisfy their needs, interacted with their assessment of whether the time and the money spent for purchase and consumption could have been used better (i.e., to satisfy the same or other needs)” (Radojevic & Stanisic, 2022). Secondly, the definition also explains the construct “service quality” as “the extent to which products or services purchased help customers satisfy their specific needs.” If applied to the context of restaurant services, this definition supports the perception of restaurant guest satisfaction as a subjective evaluation of the restaurant service quality, which includes their opinion on whether the service met their needs and is a good value for the money spent.
The abovementioned definition emphasizes the interplay between customer satisfaction, their specific needs and opportunity costs on the one side, and the qualities of the restaurant service providers on the other. Provided both dimensions are in accordance, a customer will have a positive dining experience that can result in high levels of reported customer satisfaction and a positive feedback loop between customer satisfaction and the restaurant’s financial performance (Chen & Law, 2016; Zhang et al., 2010). Conversely, the discrepancy between the two dimensions yields an unfavorable perception of service quality, leading to dissatisfaction that can result in negative evaluation that can be worsened further if spread through word of mouth or via social platforms, thus harming the restaurant’s reputation and reducing its revenues.
Another relevant factor influencing customer satisfaction includes customers’ preferences and opportunity costs. Based on customers’ needs and preferences, Yüksel and Yüksel (2003) identified five distinct clusters of restaurant customers: value seekers, service seekers, choice-of-food seekers, atmosphere seekers, and healthy food seekers. When evaluating all aspects of their dining experience, customers, even aware of all of them, still prioritize those that are more relevant according to their preferences and needs, and this distinction gives way to forming these clusters. To ensure customer satisfaction, restaurant managers should acknowledge these clusters and aim to attract those with preferences their restaurants can best meet.
The hospitality industry has recognized customer perception of service quality as an unavoidable factor, and empirical findings have proven its relevance. For instance, the study by Yüksel and Yüksel (2003) provided findings stating that service quality is the most significant aspect of the dining experience. Service quality explained 34.2% of the total variation in customer evaluations; on the other side, product quality, menu diversity, hygiene, convenience and location, noise, service speed, price and value, facilities, and atmosphere combined explained an additional 30.2%. The fundamental service quality indicators include attentive and competent staff, willingness to help, staff knowledge, and friendly interactions. Hence, the overall customer dining experience heavily depends on establishing a good rapport and interactions between customers and staff.
The quality of these interactions can significantly be affected by the cultural characteristics of both customers and service providers, influencing perceived restaurant service quality. Culture and its multiple layers play an important role in shaping restaurant customers’ needs and preferences, a principle suggested by Kotler and Keller (2009) and verified in the hospitality industry (Huang & Crotts, 2019; Kozak, 2001) and the restaurant industry (Djekic et al., 2016). Surveying customers from Belgrade, Manchester, Thessaloniki, and Porto, Djekic et al. (2016) found that customers have meaningfully different expectations and preferences and consequently value and assess the same dining service differently.
One of the factors shaping service delivery encompasses the cultural characteristics of restaurant staff, primarily waiters/waitresses and managers, manifested mainly through social interaction. In the hospitality industry, the Hofstede Model is used to explain the influence of cultural dimensions on the interactions between guests and staff (Koc, 2020; Koc et al., 2017). Empirical research by Radojevic et al. (2019) provided evidence of a correlation between the cultural characteristics of the local labor force and the quality of service they provide. The research findings show significantly better evaluation scores for provided services in countries characterized by high collectivism, low indulgence, and low power distance. The authors ranked 80 countries based on their culturally imbued capacity for delivering high-quality hotel services, with Asian countries topping the list, followed by Eastern Europe, Sub-Saharan Africa, Mediterranean Europe, and Latin America; conversely, modern Western cultures ranked lower. These findings suggest that cultural traits rooted in the history of hospitality significantly impact service quality. The research conclusions also comply with Baum’s (2006) analysis of vocational mobility in the hospitality sector throughout history - the findings show that during the 19th and 20th centuries, southern Europeans (ranked relatively high in the cited study) participated in developing hospitality sector in industrialized Europe (ranked low in this study). This tendency has continued into the 21st century. To support this stance, according to a study by May et al. (2007), in the United Kingdom (ranked 67 out of 80), more than two-thirds of workers in the hospitality sector come from Southern Europe (dominantly from Portugal), and more often from Central and Eastern Europe in recent years.
Such insights can greatly contribute to providing high-quality restaurant services, another pillar of the hospitality industry. Due to the lack of research evidence and findings, the insights are insufficient to get satisfactory support. Therefore, this study aims to bridge the current gap by examining and interpreting the correlation between the cultural characteristics of restaurant workers and reported levels of guest satisfaction.
The similarities between the hotel and restaurant industries and the positive results reported for the hotel industry provide an optimistic forecast for the context of restaurants. If a significant commonality between the results in the two areas arises, it would support the idea that the culture of hospitality is an actual phenomenon within Hofstede’s cultural framework that would warrant further analysis of its roots and a thorough discussion of its implications for the modern hospitality industry.
3. Methodology
3.1. Data
The initial dataset comprised 1.7 million restaurant reviews collected from the TripAdvisor website, where users provide textual reviews and numerical ratings pertaining to their recent dining experiences. They rate their dining experience on the following five criteria: ‘overall’, ‘value’, ‘service’, ‘food’, and ‘atmosphere’. In addition to the numerical scores, the dataset included information on the dates when the reviews were provided, restaurant identities and locations, as well as the reviewer’s self-reported identities and their countries of origin. The dataset also included an indicator of the relative level of prices for each restaurant, with the following categories: ‘cheap eats’, ‘mid-range’, and ‘fine dining’. This variable was intended to account for the ‘opportunity cost’ part of the definition of restaurant guest satisfaction that we provided in the prior section.
All 1.7 million reviews collected pertained to restaurants located in the capital cities of 80 countries for which Hofstede’s cultural dimension scores were available, spanning the period from 2009 to 2021. We collected data from every restaurant with ratings on TripAdvisor in each of the 80 capital cities at the time of data collection. In the first step of data processing, we excluded cases where some of the five rating scores were missing. Next, we used Google Geocoding API to determine the country of origin for each reviewer and retained only reliable results. We then excluded reviews where the reviewer’s country of origin was not one of the 80 countries or where it matched the restaurant’s location, focusing on intercultural encounters. The dataset was appended with Hofstede’s cultural scores for both restaurant locations and reviewers’ countries of origin, with scores rescaled to range from 0 to 1. Due to computational intensity, we randomly sampled 35,000 cases for the final dataset.
This comprehensive data collection method minimizes sampling bias compared to random sampling, but potential biases related to the platform’s user base and the nature of online reviews may still be present. Despite these potential biases, our approach ensures a robust dataset capturing a wide range of customer experiences across diverse cultural contexts.
3.2. The model
To achieve the aim of this study, we specified a statistical model that formally tests whether the empirical country-specific cultural scores of the locations of the restaurants had significant associations with the customer rating scores for the ‘service’ criterion. To account for the fact that guest expectations and evaluation scores vary significantly across cultures, we included in the model six cultural dimension scores ascribed to the guests’ countries of origins, as well as their pairwise interactions with the dimension scores of the host country. To control for the opportunity costs of dining, which affect guests’ satisfaction, we included the price level variable. To account for possible temporal changes in the average rating scores on TripAdvisor (see Figure 3 in Radojevic et al. (2017)), we included the review dates converted into numerical values.
To counter the ‘spill-over effect’ that takes place across customer ratings for different criteria under evaluation (see Radojevic et al., 2017, p. 5) and which thus can bias the inference, we used a multivariate specification that separately models the effects of cultural dimensions for each criterion and the correlations between the ratings for all five criteria. This enabled us to focus exclusively on the regression coefficients pertaining to the “service” criteria of the evaluation without concerns that they were cross contaminated by the guests’ impressions of other aspects of their dining experiences, such as food quality or atmosphere. Furthermore, to better isolate the focal associations and prevent the problem of confounding variables, we controlled within the model for the other factors that have been previously found to be relevant in the context of providing hospitality services (Radojevic et al., 2017; 2018). These effects are those of the guest’s (i.e. reviewer’s) identity, guest’s nationality, restaurant’s location identity, and restaurant’s identity. To account for the hierarchical structure in the data, we modelled the four identity variables as nested random effects (guests are nested within guest nationalities, while restaurants are nested within the countries). The final model specification is shown in Equation 1.
Equation 1 – Specification of the multivariate multilevel model

In the specification,
stands for the ith rating score for the c criterion.
We used R software developed and maintained by the R Core Team
(2021) and its ‘brms’ library developed and
maintained by Bürkner (2017)
to fit this Bayesian model. After 40,000 iterations, the models successfully
converged, according to all relevant diagnostics suggested by the leading
experts in the field (e.g. see Gelman &
Hill, 2007).
4. Results
The regression coefficient estimates, which detail the effects of the restaurant country’s culture and the interactions with the guest’s country of origin on reported guest satisfaction levels, are presented in Table 1. This table provides the foundational numerical data that informs the subsequent visual analysis.
Table 1: Numerical model output for guest satisfaction including regression coefficient estimates, confidence intervals, and variance components across different aspects of service quality
|
|
Value |
Food |
Atmosphere |
Service |
Overall |
||||||
|
Predictors |
Estimates |
CI (95%) |
Estimates |
CI (95%) |
Estimates |
CI (95%) |
Estimates |
CI (95%) |
Estimates |
CI (95%) |
|
|
Intercept |
4.27 |
3.96 – 4.58 |
4.24 |
3.97 – 4.51 |
4.17 |
3.90 – 4.45 |
4.17 |
3.86 – 4.47 |
3.9 |
3.57 – 4.23 |
|
|
Date of review |
0.02 |
0.01 – 0.03 |
0.01 |
0.00 – 0.02 |
0.01 |
0.00 – 0.02 |
0.03 |
0.02 – 0.04 |
0.01 |
0.01 – 0.02 |
|
|
Restaurant location PDI |
0 |
-0.00 – 0.00 |
0 |
-0.00 – 0.00 |
0 |
-0.00 – 0.00 |
0 |
-0.00 – 0.00 |
0 |
-0.00 – 0.00 |
|
|
Guest’s nationality PDI |
0.2 |
-0.03 – 0.43 |
0.26 |
0.02 – 0.49 |
0.2 |
-0.03 – 0.43 |
0.33 |
0.08 – 0.57 |
0.37 |
0.13 – 0.63 |
|
|
Restaurant location IDV |
0.02 |
-0.16 – 0.21 |
-0.08 |
-0.26 – 0.10 |
0.03 |
-0.15 – 0.21 |
0.06 |
-0.14 – 0.26 |
0.07 |
-0.14 – 0.28 |
|
|
Guest’s nationality IDV |
0.03 |
-0.09 – 0.13 |
0.03 |
-0.07 – 0.13 |
0.11 |
0.01 – 0.22 |
0.09 |
-0.03 – 0.21 |
0.15 |
0.04 – 0.26 |
|
|
Restaurant location MAS |
-0.16 |
-0.35 – 0.05 |
-0.21 |
-0.40 – -0.02 |
-0.24 |
-0.43 – -0.05 |
-0.14 |
-0.34 – 0.07 |
-0.19 |
-0.41 – 0.03 |
|
|
Guest’s nationality MAS |
-0.05 |
-0.19 – 0.10 |
-0.07 |
-0.21 – 0.08 |
-0.1 |
-0.25 – 0.04 |
-0.08 |
-0.24 – 0.07 |
-0.25 |
-0.41 – -0.09 |
|
|
Restaurant location UAI |
0.28 |
0.10 – 0.45 |
0.12 |
-0.04 – 0.27 |
0.15 |
-0.01 – 0.31 |
0.25 |
0.08 – 0.43 |
0.32 |
0.13 – 0.51 |
|
|
Guest’s nationality UAI |
0.08 |
-0.07 – 0.24 |
0.15 |
-0.01 – 0.30 |
0.16 |
0.00 – 0.31 |
0.08 |
-0.08 – 0.25 |
0.12 |
-0.05 – 0.29 |
|
|
Restaurant location LTO |
-0.07 |
-0.25 – 0.11 |
0.09 |
-0.07 – 0.26 |
0.07 |
-0.09 – 0.24 |
0.03 |
-0.15 – 0.21 |
0.01 |
-0.19 – 0.20 |
|
|
Guest’s nationality LTO |
-0.03 |
-0.17 – 0.11 |
0.01 |
-0.13 – 0.15 |
0.03 |
-0.11 – 0.17 |
0.03 |
-0.12 – 0.19 |
-0.07 |
-0.22 – 0.08 |
|
|
Restaurant location IVR |
-0.33 |
-0.55 – -0.12 |
-0.33 |
-0.55 – -0.13 |
-0.41 |
-0.62 – -0.19 |
-0.53 |
-0.76 – -0.31 |
-0.56 |
-0.81 – -0.32 |
|
|
Guest’s nationality IVR |
-0.12 |
-0.31 – 0.08 |
-0.04 |
-0.24 – 0.15 |
-0.07 |
-0.26 – 0.12 |
-0.13 |
-0.33 – 0.08 |
0 |
-0.21 – 0.21 |
|
|
Restaurant location PDI × Guest’s nationality PDI |
0 |
-0.01 – -0.00 |
0 |
-0.00 – 0.00 |
0 |
-0.00 – 0.00 |
0 |
-0.01 – 0.00 |
0 |
-0.01 – 0.00 |
|
|
Restaurant location IDV × Guest’s nationality IDV |
-0.12 |
-0.28 – 0.03 |
-0.01 |
-0.17 – 0.16 |
-0.14 |
-0.31 – 0.02 |
-0.04 |
-0.22 – 0.14 |
-0.03 |
-0.21 – 0.15 |
|
|
Restaurant location MAS × Guest’s nationality MAS |
0.09 |
-0.17 – 0.33 |
0.17 |
-0.10 – 0.43 |
0.2 |
-0.07 – 0.47 |
0.1 |
-0.18 – 0.38 |
0.27 |
-0.01 – 0.55 |
|
|
Restaurant location UAI × Guest’s nationality UAI |
-0.1 |
-0.30 – 0.11 |
-0.13 |
-0.34 – 0.08 |
-0.12 |
-0.33 – 0.10 |
-0.02 |
-0.25 – 0.21 |
-0.22 |
-0.43 – 0.02 |
|
|
Restaurant location LTO × Guest’s nationality LTO |
0.03 |
-0.19 – 0.25 |
-0.07 |
-0.30 – 0.16 |
-0.09 |
-0.32 – 0.15 |
-0.08 |
-0.33 – 0.17 |
0.05 |
-0.19 – 0.30 |
|
|
Restaurant location IVR × Guest’s nationality IVR |
0.32 |
0.03 – 0.62 |
0.41 |
0.10 – 0.71 |
0.4 |
0.09 – 0.72 |
0.6 |
0.25 – 0.92 |
0.41 |
0.07 – 0.74 |
|
|
Random Effects |
|||||||||||
|
σ2 |
0.02 |
||||||||||
|
τ00 |
0.75 |
||||||||||
|
ICC |
0.02 |
||||||||||
|
N Restaurant location |
80 |
||||||||||
|
N Restaurant id |
4370 |
||||||||||
|
N Guest’s nationality |
79 |
||||||||||
|
N Guest id |
30385 |
||||||||||
|
Observations |
35000 |
||||||||||
|
Source: Authors’ research |
|
||||||||||
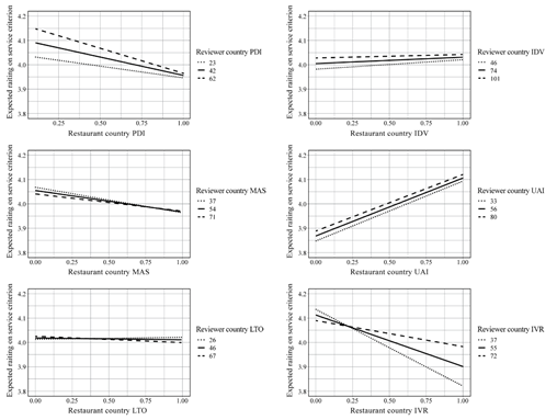
Figure 2: The effects of local culture on the expected rating for the restaurant service criterion

Source: Authors’ research
Analysis of the individual and
interactive effects
· Uncertainty Avoidance (UAI)
The results show a strong and consistent effect for uncertainty avoidance and the correlation between the restaurant location’s uncertainty avoidance and higher guest satisfaction, which does not depend on guest’s cultural background. This positive relationship is evident in the visualization, showing a meaningful increase on the 1 to 5 satisfaction scale. Specifically, the effect size is significant (estimate = 0.25, CI: 0.08 – 0.43, p < 0.01).
· Indulgence (IVR)
There is a significant negative effect of the dimension of indulgence on guest satisfaction. Namely, higher levels of indulgence correlate with lower guest satisfaction with the quality of a restaurant. This effect is more dominant in the case of the interaction between a restrained guest and an indulgent waiter, as shown by the steep negative slope in the visualization. The main effect of indulgence is significant (estimate = -0.53, CI: -0.76 – -0.31, p < 0.01). Additionally, the findings reveal a significant interaction effect between the restaurant location indulgence and the guest’s nationality (estimate = 0.60, CI: 0.25 – 0.92, p < 0.01).
· Power Distance (PDI)
The analysis shows the interaction effects of the cultural dimension of power distance. Even though the main effects may not be strong enough (estimate = 0, CI: -0.00 – 0.00, p = 0.45), the visualization suggests variability based on the guest’s nationality. The most significant negative interaction effect shows when the guest and the waiter come from high power-distance cultures. Although the interaction effect does not have statistical significance (estimate = 0, CI: -0.01 – 0.00, p = 0.61), the visual representation points to possible resulting patterns, suggesting that guest satisfaction may be affected by cultural alignment or misalignment in power distance between the guest and the restaurant staff, which can serve as an incentive for further investigation going beyond the numerical significance.
· Individualism (IDV) and Masculinity (MAS)
The results reveal no statistical significance as regards the effects of individualism and masculinity. The visualizations for these dimensions show relatively flat slopes, suggesting a minor influence of individualism (estimate = 0.06, CI: -0.14 – 0.26, p = 0.57) and masculinity (estimate = -0.14, CI: -0.34 – 0.07, p = 0.18) on guest satisfaction. Although these dimensions may be relevant in post-hoc analyses, they do not bear significance for the primary aims of this study.
· Long-Term Orientation (LTO)
The effect of long-term orientation on guest satisfaction is negligible. The visualization shows that the estimate and the slope are close to zero (estimate = 0.03, CI: -0.15 – 0.21, p = 0.79), which indicates minimal impact.
Given the presented findings, we have ranked countries according to their capability to offer high-quality restaurant services. The top two criteria include high uncertainty avoidance and low indulgence. Power distance is the third criterion influencing the ranking, while individualism and masculinity are less significant for this representation. This methodology establishes a structured hierarchy for evaluating countries’ hospitality service quality, with the rankings detailed in Table 2.
Table 2: Countries in the study sorted by their culturally-imbued human capacity for providing high-quality restaurant services, as implied by the results of the model
|
Ranking |
Country |
PDI |
IDV |
MAS |
UAI |
IVR |
Key Conditions Met |
|
1 |
Latvia |
0.37 |
0.73 |
0.04 |
0.60 |
0.13 |
IVR low, UAI high, PDI low, IDV high, MAS low |
|
2 |
Lithuania |
0.35 |
0.61 |
0.15 |
0.62 |
0.16 |
IVR low, UAI high, PDI low, IDV high, MAS low |
|
3 |
Estonia |
0.33 |
0.61 |
0.26 |
0.57 |
0.16 |
IVR low, UAI high, PDI low, IDV high, MAS low |
|
4 |
Pakistan |
0.49 |
0.03 |
0.47 |
0.67 |
0.00 |
IVR low, UAI high, PDI low, MAS low |
|
5 |
Hungary |
0.39 |
0.86 |
0.87 |
0.80 |
0.31 |
IVR low, UAI high, PDI low |
|
6 |
Italy |
0.44 |
0.81 |
0.68 |
0.73 |
0.30 |
IVR low, UAI high, PDI low |
|
7 |
Germany |
0.27 |
0.70 |
0.64 |
0.62 |
0.40 |
IVR low, UAI high, PDI low |
|
8 |
Japan |
0.48 |
0.43 |
0.95 |
0.91 |
0.42 |
IVR low, UAI high |
|
9 |
France |
0.64 |
0.75 |
0.40 |
0.85 |
0.48 |
IVR low, UAI high, IDV high, MAS low |
|
10 |
Russia |
0.92 |
0.34 |
0.33 |
0.95 |
0.20 |
IVR low, UAI high, MAS low |
|
11 |
Egypt |
0.66 |
0.16 |
0.42 |
0.78 |
0.04 |
IVR low, UAI high, MAS low |
|
12 |
Romania |
0.89 |
0.23 |
0.39 |
0.89 |
0.20 |
IVR low, UAI high, MAS low |
|
13 |
Bulgaria |
0.66 |
0.23 |
0.37 |
0.84 |
0.16 |
IVR low, UAI high, MAS low |
|
14 |
Portugal |
0.58 |
0.19 |
0.27 |
0.99 |
0.33 |
IVR low, UAI high, MAS low |
|
15 |
Poland |
0.64 |
0.61 |
0.62 |
0.92 |
0.29 |
IVR low, UAI high, IDV high |
|
16 |
Serbia |
0.84 |
0.16 |
0.40 |
0.91 |
0.28 |
IVR low, UAI high, MAS low |
|
17 |
South Korea |
0.55 |
0.08 |
0.36 |
0.84 |
0.29 |
IVR low, UAI high, MAS low |
|
18 |
Croatia |
0.70 |
0.27 |
0.37 |
0.78 |
0.33 |
IVR low, UAI high, MAS low |
|
19 |
Czech Republic |
0.52 |
0.58 |
0.55 |
0.72 |
0.29 |
IVR low, UAI high, IDV high |
|
20 |
Spain |
0.52 |
0.49 |
0.39 |
0.85 |
0.44 |
IVR low, UAI high, MAS low |
|
21 |
Peru |
0.60 |
0.05 |
0.39 |
0.86 |
0.46 |
IVR low, UAI high, MAS low |
|
22 |
Slovenia |
0.67 |
0.19 |
0.15 |
0.87 |
0.48 |
IVR low, UAI high, MAS low |
|
23 |
Turkey |
0.62 |
0.32 |
0.42 |
0.84 |
0.49 |
IVR low, UAI high, MAS low |
|
24 |
Burkina Faso |
0.66 |
0.04 |
0.47 |
0.51 |
0.18 |
IVR low, UAI high, MAS low |
|
25 |
Libya |
0.78 |
0.33 |
0.49 |
0.65 |
0.34 |
IVR low, UAI high, MAS low |
|
26 |
Jordan |
0.66 |
0.23 |
0.42 |
0.62 |
0.43 |
IVR low, UAI high, MAS low |
|
27 |
Taiwan |
0.53 |
0.06 |
0.42 |
0.66 |
0.49 |
IVR low, UAI high, MAS low |
|
28 |
Thailand |
0.60 |
0.10 |
0.31 |
0.61 |
0.45 |
IVR low, UAI high, MAS low |
|
29 |
Iran |
0.53 |
0.37 |
0.40 |
0.55 |
0.40 |
IVR low, UAI high, MAS low |
|
30 |
Iraq |
0.94 |
0.23 |
0.68 |
0.84 |
0.17 |
IVR low, UAI high |
|
31 |
Albania |
0.89 |
0.10 |
0.79 |
0.67 |
0.15 |
IVR low, UAI high |
|
32 |
Morocco |
0.66 |
0.43 |
0.51 |
0.65 |
0.25 |
IVR low, UAI high |
|
33 |
Bangladesh |
0.78 |
0.10 |
0.53 |
0.57 |
0.20 |
IVR low, UAI high |
|
34 |
Luxembourg |
0.33 |
0.61 |
0.47 |
0.67 |
0.56 |
IVR low, UAI high, IDV high |
|
35 |
Finland |
0.25 |
0.65 |
0.22 |
0.55 |
0.57 |
IVR low, UAI high, IDV high |
|
36 |
Austria |
0.00 |
0.54 |
0.78 |
0.67 |
0.63 |
IVR low, UAI high |
|
37 |
Switzerland |
0.26 |
0.71 |
0.68 |
0.54 |
0.66 |
IVR low, UAI high |
|
38 |
Argentina |
0.43 |
0.43 |
0.54 |
0.85 |
0.62 |
IVR low, UAI high |
|
39 |
Trinidad and Tobago |
0.40 |
0.05 |
0.56 |
0.51 |
0.80 |
IVR low, UAI high |
|
40 |
Malta |
0.51 |
0.59 |
0.44 |
0.96 |
0.66 |
IVR low, UAI high, IDV high |
|
41 |
Uruguay |
0.56 |
0.30 |
0.35 |
0.99 |
0.53 |
IVR low, UAI high |
|
42 |
Belgium |
0.61 |
0.80 |
0.52 |
0.93 |
0.57 |
IVR low, UAI high, IDV high |
|
43 |
Slovakia |
1.00 |
0.51 |
1.00 |
0.47 |
0.28 |
IVR low, UAI high |
|
44 |
Chile |
0.58 |
0.14 |
0.24 |
0.85 |
0.68 |
IVR low, UAI high |
|
45 |
Brazil |
0.65 |
0.33 |
0.46 |
0.74 |
0.59 |
IVR low, UAI high |
|
46 |
Tanzania |
0.66 |
0.16 |
0.37 |
0.46 |
0.38 |
IVR low, UAI high |
|
47 |
Indonesia |
0.75 |
0.03 |
0.43 |
0.43 |
0.38 |
IVR low, UAI high |
|
48 |
El Salvador |
0.62 |
0.09 |
0.37 |
0.93 |
0.89 |
IVR low, UAI high |
|
49 |
Zambia |
0.55 |
0.29 |
0.37 |
0.46 |
0.42 |
IVR low, UAI high |
|
50 |
Ghana |
0.78 |
0.04 |
0.37 |
0.62 |
0.72 |
IVR low, UAI high |
|
51 |
Vietnam |
0.66 |
0.10 |
0.37 |
0.24 |
0.35 |
IVR low, UAI high |
|
52 |
Angola |
0.81 |
0.08 |
0.16 |
0.57 |
0.83 |
IVR low, UAI high |
|
53 |
Singapore |
0.71 |
0.10 |
0.45 |
0.00 |
0.46 |
IVR low, UAI high |
|
54 |
Greece |
0.55 |
0.29 |
0.55 |
1.00 |
0.50 |
IVR low, UAI high |
|
55 |
Saudi Arabia |
0.94 |
0.16 |
0.58 |
0.78 |
0.52 |
IVR low, UAI high |
|
56 |
Lebanon |
0.72 |
0.35 |
0.63 |
0.46 |
0.25 |
IVR low |
|
57 |
India |
0.74 |
0.46 |
0.54 |
0.35 |
0.26 |
IVR low |
|
58 |
Hong Kong |
0.64 |
0.16 |
0.55 |
0.23 |
0.17 |
IVR low |
|
59 |
China |
0.78 |
0.10 |
0.64 |
0.24 |
0.24 |
IVR low |
|
60 |
Philippines |
0.93 |
0.25 |
0.62 |
0.39 |
0.42 |
IVR low |
|
61 |
Colombia |
0.63 |
0.01 |
0.62 |
0.78 |
0.83 |
IVR low, UAI high |
|
62 |
Mexico |
0.79 |
0.23 |
0.67 |
0.80 |
0.97 |
IVR low, UAI high |
|
63 |
Venezuela |
0.79 |
0.00 |
0.72 |
0.74 |
1.00 |
IVR low, UAI high |
|
64 |
Nigeria |
0.78 |
0.23 |
0.58 |
0.51 |
0.84 |
IVR low, UAI high |
|
65 |
Norway |
0.22 |
0.72 |
0.03 |
0.46 |
0.55 |
IDV high |
|
66 |
Netherlands |
0.30 |
0.86 |
0.09 |
0.49 |
0.68 |
IDV high |
|
67 |
Iceland |
0.21 |
0.61 |
0.05 |
0.46 |
0.67 |
IDV high |
|
68 |
Canada |
0.31 |
0.86 |
0.49 |
0.43 |
0.68 |
IDV high |
|
69 |
Denmark |
0.08 |
0.78 |
0.12 |
0.16 |
0.70 |
IDV high |
|
70 |
Sweden |
0.22 |
0.75 |
0.00 |
0.23 |
0.78 |
IDV high |
|
71 |
South Africa |
0.43 |
0.67 |
0.61 |
0.45 |
0.63 |
IDV high |
|
72 |
Australia |
0.28 |
0.99 |
0.59 |
0.47 |
0.71 |
IDV high |
|
73 |
United States |
0.33 |
1.00 |
0.60 |
0.41 |
0.68 |
IDV high |
|
74 |
New Zealand |
0.12 |
0.85 |
0.56 |
0.45 |
0.75 |
IDV high |
|
75 |
Ireland |
0.19 |
0.73 |
0.66 |
0.29 |
0.65 |
IDV high |
|
76 |
United Kingdom |
0.27 |
0.97 |
0.64 |
0.29 |
0.69 |
IDV high |
|
77 |
Malaysia |
1.00 |
0.18 |
0.47 |
0.30 |
0.57 |
- |
|
78 |
Mozambique |
0.83 |
0.04 |
0.35 |
0.39 |
0.80 |
- |
|
79 |
Cape Verde |
0.72 |
0.10 |
0.11 |
0.35 |
0.83 |
- |
|
80 |
Dominican Republic |
0.61 |
0.23 |
0.63 |
0.40 |
0.54 |
- |
|
|
|
|
|
|
|
|
|
Source: Authors’ research
5. Discussion
Apart from the quantitative statistical effects analysis presented in the previous chapter, the research findings also point to the relevance of three cultural characteristics - high uncertainty avoidance, low indulgence, and low power distance. The discussion below explains how these significant cultural dimensions enhance restaurant services by referencing prior research and linking these characteristics with service performance. It ends with a proposal for the recruitment strategy and the evaluation of our findings through a qualitative analysis.
5.1 Effects of cultural dimensions: UAI, IVR and PDI
High Uncertainty Avoidance
High uncertainty avoidance is linked to reliability, responsiveness, assurance, and empathy in service (Furrer et al., 2000). The benefits of high uncertainty avoidance for restaurant service performance relate to high responsiveness to guests, attention to detail in orders, adherence to procedures, and hygiene. Restaurant staff also have better knowledge and recommendations of food and drink and longer job tenures, resulting in improved skills and enhanced experiences.
Low Indulgence (High Restraint)
Individuals from restrained cultures prioritize work, have strong work ethics, and control emotional outbursts (Hofstede et al., 2010). The benefits of a low indulgence dimension include long work hours with minimal frustration, strong work discipline and focus, conformity to professional roles, and emotional stability and humility, improving job performance (Dutta et al., 2023).
Low Power Distance
In cultures with low power distance, employees are more empowered, make decisions without consulting superiors, and deliver high-quality services (Humborstad et al., 2008; Kanjanakan et al., 2023). Low power distance dimension enhances restaurant services, yielding benefits that imply friendly, informal staff conduct, open communication with guests, smoother consultation with managers for nonstandard situations, and higher willingness to deliver quality service due to supervisor support.
5.2 Implications for restaurant industry practitioners and their recruiting strategy
Restaurant managers should prioritize applicants with high restraint, high uncertainty avoidance, and low power distance. They can follow two strategies: consult national scores and analyze individual profiles. The first implies attracting applicants from nations with advantageous scores, such as Latvia, Lithuania, Estonia, Pakistan, Hungary, Italy, Germany, and Japan, as listed in Table 2. This approach can enhance job satisfaction, reduce turnover, and improve customer satisfaction (Ivancevic & Ivanovic, 2022). The second strategy suggests identifying individuals with beneficial cultural profiles using validated questionnaires (see Heydari et al., 2021; Yoo et al., 2011).
Summary and Implications for the Hospitality Industry
The research findings comply with the study of Radojevic et al. (2019), and both point to the value of the low power distance and the low indulgence cultural dimensions. Both studies also conclude that hotel services benefit from high collectivism and restaurant services from high uncertainty avoidance. These findings suggest that restraint and low power distance are the key characteristics of high-quality hospitality services. Table 3 classifies nations by their culturally imbued talents for hotel and restaurant services.
Table 3: Classification of 45 nations according to their culturally imbued talent for rendering high-quality hotel and/or restaurant services, based on the effects observed in Radojevic et al. (2019) and in this study
|
|
Hotels |
Both, more hotels |
Both |
Both, more restaurants |
Restaurants |
|
Exceptional |
|
|
Japan, Pakistan |
|
|
|
Excellent |
|
|
Hungary, Italy, Germany |
|
Latvia, Lithuania, Estonia |
|
Very good |
Lebanon, India, Hong Kong, China, Philippines |
Iraq, Albania, Morocco, Bangladesh |
|
Russia, Egypt, Romania, Bulgaria, Portugal, Serbia, South Korea, Croatia, Spain, Peru, Slovenia, Turkey, Burkina Faso, Libya, Jordan, Taiwan, Thailand, Iran |
France |
|
Good |
Slovakia |
Greece[2]
|
Tanzania, Indonesia, Zambia, Vietnam, Singapore, Poland, Czech Republic |
|
|
Source: Authors’ research
To challenge the validity of our hard-data findings, we sought qualitative evidence that would support or disprove the findings.
5.3. Qualitative evidence
We began our qualitative research by examining written sources to determine if countries highly ranked in our table are perceived as hospitable, particularly Japan and Pakistan. Japan’s Omotenashi reflects an intrinsic motivation to provide superb hospitality service (Belal et al., 2013; Sato & Al-alsheikh, 2014). The Nishiyama Onsen Keiunkan hotel, founded in 705 AD, exemplifies Japan’s deep-rooted hospitableness (Oh, 2019). In Pakistan, the Pashtunwali code prioritizes hospitality (Melmastya) and asylum (Nanawatai), showcasing intrinsic hospitableness.
Historical and cultural support for the hospitableness of other high-ranking ethnic groups is also documented. Caravanserais along trade routes like the Silk Road provided shelter and services (Thareani-Sussely, 2007; UNESCO, 2021). In China, early lodging facilities staffed by soldiers and prisoners offered hospitality (Yang, 2015). Buddhist monasteries also provided shelter. In the Mediterranean, Homer’s “Iliad” and Rome’s ius hospitia highlighted the importance of hospitality (O’Gorman, 2006). Slavic hospitality is noted in “Strategikon” and proverbs like the Polish “Gość w dom, Bóg w dom” (Laskowski, 2016). Indian hospitality is exemplified by the Sanskrit phrase “Atithi Devo Bhava” (Banerjee, 2008).
Anecdotal evidence, such as the experiences of Finns in China (Stopniece, 2017), Danes in Russia (Chudnovskaya & O’Hara, 2022), and Australians in Lebanon (Lebanese Culture – Etiquette — Cultural Atlas, 2015), supports our findings. These accounts show that people from cultures ranked lower in hospitality are often delighted with the hospitality of their hosts, who rank high in our results.
However, anecdotal evidence is not the only piece supporting our conclusions. Interviews with industry professionals also confirmed that top-performing employees often come from Eurasian cultures. These workers accept lower wages, work longer hours, and take less leisure time, aligning with the concept of restraint. Essential traits for high-quality service identified by professionals include emotional and mental stability, empathy, strong work ethics, peak performance, perseverance under pressure, a positive attitude, and problem-solving abilities. These traits correspond to cultural characteristics advantageous for restaurant services: restraint (emotional and mental balance, work ethics, peak performance), low power distance (empowered problem-solving), and femininity (empathy).
In summary, our qualitative analysis found consistent support for our findings with minimal contradictory evidence. Thus, our quantitative analysis reveals genuine effects deserving further exploration and discussion.
6. Conclusion
Based on the quantitative and qualitative research conducted in this study and the results presented in a previous study by Radojevic et al. (2019), we conclude that low power distance and low indulgence (i.e., restraint) are cultural characteristics that are beneficial for providing high-quality frontline hotel and restaurant services, and possibly, hospitality services in general. When complemented with pronounced collectivism and pronounced uncertainty avoidance, these values make individuals particularly culturally gifted at providing high-quality services in the hotel and restaurant industry. Additionally, pronounced feminine values are beneficial for restaurant services, and masculine values are beneficial for hotel services. Based on these findings, we propose the classification of nations as presented in Table 3 and offer suggestions on how practitioners working in the hospitality industry can use our findings for the benefit of customers, workers, and their businesses.
Limitations and recommendations for future research
There are three major limitations of this study that we must acknowledge. The first limitation pertains to our use of Hofstede’s cultural dimension framework and the associated empirically derived national scores across six cultural dimensions. If these empirical scores are inaccurately measured, the estimated regression coefficients presented in this study, as well as the resulting conclusions, could be biased. To mitigate potential inaccuracies, particularly when drawing inferences at the national level, we transformed the raw scores into two categories: “below average” and “above average”. We then assessed whether the countries fell on the advantageous side of the scale for each dimension, as indicated by the regression coefficients. This limitation applies to all scientific analyses relying on Hofstede’s estimates of national scores. Future large-scale studies aimed at accurately estimating national scores on the six dimensions within a predetermined margin of error may be necessary.
The second significant limitation revolves around our assumption that waiters generally possess cultural profiles similar to those of native residents in the cities where the restaurants are located. This is often violated, such as in London, where 75.3% of waitstaff are EU migrants (KPMG, 2017). While this may lead to an underestimation of our observed effects, it is unlikely to change their direction. However, countries rarely experience significant inbound and outbound migration of hospitality workers simultaneously. For instance, the UK has more UK waiters than any other country, and Pakistan has nearly 100% local hospitality workers despite high emigration. This suggests our findings remain relevant. Additionally, acculturation makes workers in their home country as culturally representative as those abroad, meaning the cultural effects we observed are likely diluted but not incorrect. This mitigates concerns about this limitation affecting our results.
The third limitation concerns the potential presence of confounding variables, which exhibit correlations with both cultural dimensions and customer satisfaction and impact service quality or customer satisfaction. If such variables exist, the effects we observe are more likely correlational rather than purely causal.
One prominent potential confounder is the economic development level of nations. Hotels and restaurants in high-income countries might face challenges in attracting and retaining high-quality employees due to the abundance of alternative job opportunities, potentially resulting in lower service quality (The Guardian, 2020). While the pattern of culturally ingrained capacity for delivering high-quality hotel and restaurant services somewhat mirrors GDP per capita, this correlation does not hold universally. For example, Japan, Hong Kong, and Singapore excel in hotel services and rank high in GDP per capita, contradicting the notion that affluent countries struggle to secure high-quality staff. Similarly, wealthy nations like Italy, Germany, and France lead in restaurant services, while many African and South American countries do not. While economic factors like GDP per capita may play a role in service quality disparities, they may not provide a comprehensive explanation for the observed variations. Instead, differences could be influenced by social norms, cultural perceptions, or societal regard for specific professions. Another potential confounding factor is pre-purchase expectations, where customer satisfaction is influenced by initial expectations based on national stereotypes. However, for countries ranking highly (such as Japan, Hong Kong, Singapore, Germany, Italy, France), this confounding likely did not significantly affect results. Other factors like language skills, education quality, employment types, salary levels, and tipping customs are beyond our research scope but worth considering.
Future research should apply the same methodological framework to other services related to the hospitality sector, such as Uber drivers or flight attendants, to see if cultural characteristics of restraint and low power distance are significant. Researchers should validate findings at the individual level through national studies, measuring restraint and low power distance in hospitality workers, to test the generalizability of these cultural effects (Heydari et al., 2021; Yoo et al., 2011).
Our conclusions mainly apply to frontline hospitality workers, shaping guest experiences on platforms like TripAdvisor. These insights should not be generalized to management or culinary roles, where cultural impacts may differ. Our findings are not indicative of a nation’s overall service ethos. Further research could explore beneficial cultural attributes in other industries, enhancing customer satisfaction, employee engagement, and organizational performance across various contexts.
Acknowledgements
This research was supported by The Science Fund of the Republic of Serbia, GRANT No. 7739076, Tourism Destination Competitiveness - Evaluation Model for Serbia –TOURCOMSERBIA. We express our sincere gratitude to prof. Lazar Dražeta for his invaluable assistance in conducting the qualitative part of our research.
Conflict of interest
The authors declare no conflict of interest.
References
1. Banerjee, S. (2008). Dimensions of Indian culture, core cultural values and marketing implications. Cross Cultural Management: An International Journal, 15(4), 367–378. https://doi.org/10.1108/13527600810914157
2. Baum, T. (2006). Human resource management for tourism, hospitality and leisure: An international perspective. Thomson Learning.
3. Belal, H. M., Shirahada, K., & Kosaka, M. (2013). Value co-creation with customer through recursive approach based on Japanese Omotenashi service. International Journal of Business Administration, 4(1), 1923–4007. https://doi.org/10.5430/ijba.v4n1p28
4. Bürkner, P.-C. (2017). brms: An R package for Bayesian multilevel models using Stan. Journal of Statistical Software, 80(1), 1–28. https://doi.org/10.18637/jss.v080.i01
5. Chen, Y. F., & Law, R. (2016). A review of research on electronic word-of-mouth in hospitality and tourism management. International Journal of Hospitality & Tourism Administration, 17(4), 347–372. https://doi.org/10.1080/15256480.2016.1226150
6. Chudnovskaya, E. V., & O’Hara, L. L. S. (2022). Indulgence versus restraint: Exploration of a new cultural dimension in context. Journal of Intercultural Communication, 22(2), 41–52. https://doi.org/10.36923/jicc.v22i2.54
7. Cultural Atlas Editors (2015). Lebanese culture – Etiquette. Retrieved January 10, 2024 from https://culturalatlas.sbs.com.au/lebanese-culture/lebanese-culture-etiquette
8. Djekic, I., Kane, K., Tomic, N., Kalogianni, E., Rocha, A., Zamioudi, L., & Pacheco, R. (2016). Cross-cultural consumer perceptions of service quality in restaurants. Nutrition & Food Science, 46(6), 827–843. https://doi.org/10.1108/NFS-04-2016-0052
9. Dutta, D., Vedak, C., & Joseph, V. (2023). New hire performance: Identifying critical traits for hospitality industry. Tourism Review, Vol. ahead-of-print No. ahead-of-print. https://doi.org/10.1108/TR-11-2022-0565
10. Furrer, O., Shaw-Ching Liu, B., & Sudharshan, D. (2000). The relationships between culture and service quality perceptions basis for cross-cultural market segmentation and resource allocation. Journal of Service Research, 2(4), 355–371. http://dx.doi.org/10.1177/109467050024004
11. Gelman, A., & Hill, J. (2007). Data analysis using regression and multilevel/hierarchical models. Cambridge University Press, Cambridge. https://doi.org/10.1017/CBO9780511790942
12. Heydari, A., Laroche, M., Paulin, M., & Richard, M. O. (2021). Hofstede’s individual-level indulgence dimension: Scale development and validation. Journal of Retailing and Consumer Services, 62, 102640 https://doi.org/10.1016/j.jretconser.2021.102640
13. Hofstede, G., Hofstede, G. J., & Minkov, M. (2010). Cultures and organizations (3rd ed.). McGraw Hill, New York.
14. Huang, S. (Sam), & Crotts, J. (2019). Relationships between Hofstede’s cultural dimensions and tourist satisfaction: A cross-country cross-sample examination. Tourism Management, 72, 232–241. https://doi.org/10.1016/J.TOURMAN.2018.12.001
15. Humborstad, S. I. W., Humborstad, B., Whitfield, R., & Perry, C. (2008). Implementation of empowerment in Chinese high power-distance organizations. International Journal of Human Resource Management, 19(7), 1349–1364. https://doi.org/10.1080/09585190802110224
16. Ivancevic, S., & Ivanovic, T. (2022). Burnout syndrome. In D. Buhalis (Ed.), Encyclopedia of Tourism Management and Marketing. Edward Elgar Publishing, 385–387. https://doi.org/10.4337/9781800377486.burnout.syndrome
17. Kanjanakan, P., Wang, P. Q., & Kim, P. B. (2023). The empowering, the empowered, and the empowerment disparity: A multilevel analysis of the integrated model of employee empowerment. Tourism Management, 94, 104635. https://doi.org/10.1016/J.TOURMAN.2022.104635
18. Koc, E. (2020). Cross-cultural aspects of tourism and hospitality. Routledge, London. https://doi.org/10.4324/9781003018193
19. Koc, E., Ar, A. A., & Aydin, G. (2017). The potential implications of indulgence and restraint on service. Ecoforum, 6(3), 2013–2018.
20. Kotler, P. R., & Keller, K. L. (2009). Marketing management (13th ed.). Prentice Hall, New Jersey.
21. Kozak, M. (2001). Comparative assessment of tourist satisfaction with destinations across two nationalities. Tourism Management, 22(4), 391–401. https://doi.org/10.1016/S0261-5177(00)00064-9
22. KPMG. (2017). Labour migration in the hospitality sector – A KPMG report for the British Hospitality Association (Issue March). Retrieved February 6, 2024 from https://www.hospitalitynet.org/file/152008175.pdf
23. Laskowski, M. (2016). Bridges or walls? A reflection on the concept of hospitality. The Journal of Linguistic and Intercultural Education, 9(2), 93–102. https://doi.org/10.29302/jolie.2016.9.2.8
24. May, J., Wills, J., Datta, K., Evans, Y., Herbert, J., & McIlwaine, C. (2007). Keeping London working: Global cities, the British state and London’s new migrant division of labour. Transactions of the Institute of British Geographers, 32(2), 151–167. https://doi.org/10.1111/j.1475-5661.2007.00241.x
25. O’Gorman, K. D. (2006). Dimensions of hospitality: Exploring ancient and classical origins. In P. Lynch, A. Morrison & C. Lashley (Eds.), Hospitality: A Social Lens. Routledge, London. https://doi.org/10.4324/9780080465692
26. Oh, Y. (2019). Completion and further issues. Sustainability Valuation of Business. Springer Briefs in Finance. Springer, Cham. https://doi.org/10.1007/978-3-030-18648-7_5
27. R Core Team. (2021). R: A language and environment for statistical computing (3.1.1). R Foundation for Statistical Computing. Vienna, Austria. Retrieved March 4, 2024 from http://www.r-project.org
28. Radojevic, T., & Stanisic, N. (2022). Customer satisfaction. In D. Buhalis (Ed.), Encyclopedia of Tourism Management and Marketing (pp. 736–739). Edward Elgar Publishing. https://doi.org/https://doi.org/10.4337/9781800377486.customer.satisfaction
29. Radojevic, T., Stanisic, N., & Stanic, N. (2017). Inside the rating scores: A multilevel analysis of the factors influencing customer satisfaction in the hotel industry. Cornell Hospitality Quarterly, 58(2), 134–164. https://doi.org/10.1177/1938965516686114
30. Radojevic, T., Stanisic, N., & Stanic, N. (2019). The culture of hospitality: From anecdote to evidence. Annals of Tourism Research, 79, 102789. https://doi.org/10.1016/j.annals.2019.102789
31. Radojevic, T., Stanisic, N., Stanic, N., & Davidson, R. (2018). The effects of traveling for business on customer satisfaction with hotel services. Tourism Management, 67, 326–341. https://doi.org/10.1016/j.tourman.2018.02.007
32. Sato, Y., & Al-alsheikh, A. (2014). Comparative analysis of the western hospitality and the Japanese Omotenashi: Case study research of the hotel industry. Retrieved December 10, 2023 from http://www.kwansei-ac.jp/iba/assets/pdf/journal/BandA_review_December_14p1-16.pdf
33. Stopniece, S. (2017). Chinese ‘enormous hospitality’ versus Finnish ‘meeting among friends’: Guest-host positioning in China Finland delegation visits. In F. Dervin (Ed.) Encounters between East and West, Intercultural Perspectives (pp. 145–161). Springer, Singapore. https://doi.org/10.1007/978-981-10-4014-6_9
34. Thareani-Sussely, Y. (2007). Ancient caravanserais: An archaeological view from ’Aroer. Levant, 39(1), 123–141. https://doi.org/10.1179/lev.2007.39.1.123
35. The Guardian. (2020). Why aren’t waiters given the respect – or salary – they deserve? Retrieved December 15, 2023 from https://www.theguardian.com/food/2020/jan/15/restaurant-waiters-front-of-house-service-britain-respect
36. UNESCO. (2021). Did you know? Caravanserai along the Silk Roads in the north of the Indian subcontinent. Silk Roads Programme. Retrieved December 16, 2023 from https://en.unesco.org/silkroad/content/did-you-know-caravanserai-along-silk-roads-north-indian-subcontinent
37. Yang, J. (2015). Transportation, boarding, lodging, and trade along the early silk road: A preliminary study of the Xuanquan manuscripts. Journal of the American Oriental Society, 135(3), 421–432. https://doi.org/10.7817/jameroriesoci.135.3.421
38. Yoo, B., Donthu, N., & Lenartowicz, T. (2011). Measuring Hofstede’s five dimensions of cultural values at the individual level: Development and validation of CVSCALE. Journal of International Consumer Marketing, 23(3–4), 193–210. https://doi.org/10.1080/08961530.2011.578059
39. Yüksel, A., & Yüksel, F. (2003). Measurement of tourist satisfaction with restaurant services: A segment-based approach. Journal of Vacation Marketing, 9(1), 52–68. https://doi.org/10.1177/135676670200900104
40. Zhang, Z., Ye, Q., Law, R., & Li, Y. (2010). The impact of e-word-of-mouth on the online popularity of restaurants: A comparison of consumer reviews and editor reviews. International Journal of Hospitality Management, 29(4), 694–700. https://doi.org/10.1016/j.ijhm.2010.02.002
* Corresponding author: tradojevic@singidunum.ac.rs
This article is an open access article distributed
under the terms and conditions of the Creative Commons Attribution (CC BY)
license (http://creativecommons.org/licenses/by/4.0/).
[2] Greece has a borderline (i.e. average) score of 0.5 on the Indulgence dimension that is shown to negatively affect the quality of hospitality services. As a compromise, we decided to include Greece in the list of culturally talented nations, while slightly downgrading it from the Very good to the Good class to acknowledge the fact that the score for the Indulgence dimension is right on the cut-off value, rather than on the advantageous side.